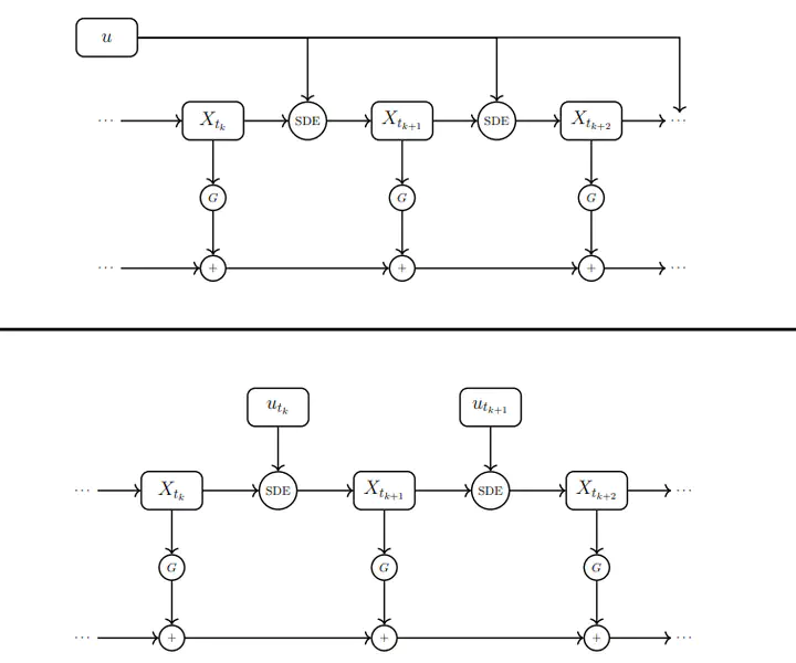
Langevin algorithms for Markovian Neural Networks and Deep Stochastic controlDec 20, 2022Go to Project Site Architecture of deep Markovian neural networks for stochastic optimal controlPierre BrasPhD Student in Applied MathematicsI am a PhD student under the direction of Gilles Pagès, interested in Machine Learning, Stochastic Optimization and Numerical Probability.